Integrales Definidas Trigonometricas Secante

Watch & download integrales definidas trigonometricas secante MP4 and MP3 now. You can download free mp3 or MP4 as a separate song, or as video and download a music collection from any artist, which of course will save you a lot of time.

Integral De Secante

Play Download

Integral Por Sustitucion De Sec X Secante

1:07

Play Download

Calculo Integral 15 Integrales Secante Tangente

Play Download

Resolviendo Integrales Con Secante Al Cuadrado De X Dx

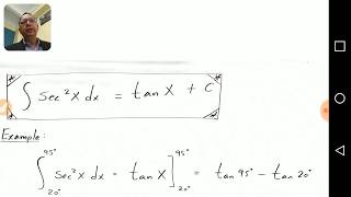
En este video se explica la integral definida para secante al cuadrado de x dx. paso a un ejemplo y final les recomiendo tres ejercicios d...

Play Download

Integral De La Funcion Secante Cuadrada

Play Download

En este video se explica la integral definida para secante al cuadrado de x dx.

Se resuelven varios ejemplos de integrales con el producto secante tangente. Paso a un ejemplo y final les recomiendo tres ejercicios d.

Advertisement

You Might Like

  1. Integrales Definidas Trigonometricas Secante

More

Integrales Definidas Trigonometricas Secante
close